PEER REVIEWED
Assessment of the Utility of 3D-Printed Interactive Models in the Vision Science Classroom
D. Joshua Cameron, PhD
Abstract
The use of 3D-printing technologies is becoming commonplace in health care and in the classroom. Most of the classroom activities using 3D-printed models occur in anatomy classrooms. This study sought to bridge the use of 3D-printed materials in the vision science classroom to ascertain whether they would enhance student learning. A 3D-printed and virtual model of the primary visual pathway was developed and tested in a vision science classroom. Student learning was assessed, as were student perceptions. Students preferred to use the 3D-printed models, but the greatest gains occurred after a multimodal learning experience.
Key Words: 3D printing, vision science, student learning, primary visual pathway
Background
Vision science is a topic that encompasses a complex interworking of optometry, ophthalmology, neuroscience, psychology, physics, information systems biology and other fields of science, engineering and math. As part of optometry students’ study of vision science, they are expected to learn how and why vision works and then recognize when something goes wrong. Two areas in particular prove difficult for students to grasp, perhaps due to their unique visuospatial aspects. The first is the complex neural network linking the retina to the brain – principally the geniculostriate pathway. The second is the center-surround organizations prevalent in the retina and elsewhere in the vision system. These center-surround organizations are comprised of antagonistic receptive fields that provide on/off signals that help establish visual boundaries. Even with complex computer animations such as the synaptic organization demonstrated by Samuel Wu, students still struggle and underperform in these two subject areas.1
Commercial off-the-shelf models have proven useful in both anatomy and clinical training. An example is the SOMSOVRMS 10/1, Female Pelvis with Ligamentous Apparatus (Marcus Sommer Modelle Gmbh, Coburg,Germany), which was shown to be more effective in student learning outcomes compared with either interactive or static images on a computer screen.2 Estevez et al. takes this a step further by using both preserved brain specimens, including plastic embedded sets of coronally and horizontally sectioned brain slabs, and commercially available Human Brain Ventricles #566786 (Carolina Biological Supply Co., Burlington, NC). The students in their study rebuilt brain structures over the ventricles using clay. The students who participated in this type of activity had significant knowledge gains over students who did not participate.3 One of the more thorough reviews on 3D modeling in the literature is presented by Azer and Azer. They reviewed more than 4,800 articles. While their conclusion appears at first glance to not support 3D modeling in the classroom, it is worth noting that two-thirds of the studies they focused on were web or computer-based models, not physical models. Most importantly, they recommended studies with more research quality and methods that consider other skills, aside from anatomy performance.4 The goal of this project was to incorporate both of these observations – a research study in a non-anatomy classroom using a physical model, in this case a 3D-printed model.
3D printing, the process of taking a virtualized 3D model and turning it into a 3D physical object, is entering biomedicine at a breakneck pace. Six years ago, approximately 400 articles in PubMed referenced 3D printing. As of the end of 2019 more than 5,000 did – an increase of more than 1,000% or >700 new articles a year! 3D printing is making significant strides in education from engineering to biology. Recent studies with anatomy and surgery students have shown that 3D-printed models provide significant education benefits over and above traditional textbooks and even 3D virtualization software in the classroom.5-9 3D printing is also making headway into clinical settings, including optometric clinics.10-15 Recent predictions suggest that 3D-printed materials will become mainstream medicine, especially in eye health.16 3D-printed models can also be integrated with microcontrollers to facilitate custom interactive projects.17 An unanswered question is: Can 3D-printed models be used to increase student learning in non-anatomy-based optometric classrooms?
To address this question, I developed an interactive 3D model of the geniculostriate, or primary visual pathway, with the assistance of our university’s Educational 3D Visualization Specialists. I then used the models we developed to assess whether they improved student performance on knowledge recall and enhanced the overall learning experience.
Methods
Model selection and design
The 3D-printed model was designed using publicly available MRI brain scans and image files (Thinigverse.com) that were subsequently modified and sculpted or designed completely by myself or the Educational 3D Visualization Specialists using TinkerCAD (Autodesk, San Rafael, CA) and Solidworks (Solidworks Corp., Waltham, MA). The 3D models were printed on a Qidi X-Max (Qidi Technology, Ruian, Zhejiang, China), a Makerbot Replicator+ (MakerBot Industries, Brooklyn, NY) or a Formlabs Form 2 (Formlabs Inc., Sommerville, MA) printer. A Raspberry Pi Zero W (Raspberry Pi Foundation, Cambridge, United Kingdom), a tiny single-board computer, was programmed to control multiple strands of electroluminescent wire using a cell phone to remotely interact with the 3D model (Figure 1).
The WesternU Educational 3D Visualization department designed a 3D virtual model and hosted it on Sketchfab.com (https://sketchfab.com/3d-models/visual-pathway-prototype-05f7e3f3104944478485b50ba0bc279f). A second model of the primary visual pathway, designed by the University of Bristol, was also chosen for this study (https://sketchfab.com/3d-models/optic-tract-and-radiation-455cac9756ed42458d33a0dad97b3512).
Three 2D models commonly used in the classroom were also included in the study (Figure 2).
![]() Figure 1. 3D-printed visual pathway model. A) Complete model in a well-lit room, showing the brain lobes, eyes, supporting base, control unit, electroluminescent wire and cell phone. B) Complete model shown in a darkly lit room with glowing wire, optic chiasm and visible control interface. |
![]() Figure 2. 2D visual pathway models. The three pictures were provided to each group of students and are representative of images students had seen during classroom lectures. A) Figure 5.23 Cognitive Neuroscience, The Biology of the Mind 4th Ed by Michael S. Gazzaniga, Richard B. Ivry and George R. Mangun, W.W. Norton & Company, 2014. Reproduced with permission. B) By Ratznium (CC-BY-SA-3.0), from Wikimedia Commons. Reproduced with permission. C) Reproduction of the 3D model in 2D. |
Classroom study design
All 79 optometry students in a second-year vision science course were randomly assigned to a group of four or five for a total of 16 groups. These students were enrolled in a four-year optometry degree program. The 16 groups were then each randomly assigned to begin at one of the four stations:
- interacting with the 3D-printed visual pathway model (3DP)
- interacting with both virtual 3D models (3DV)
- interacting with all three printed 2D images of the primary visual pathway (2D)
- drawing the primary visual pathway on their choice of a blank piece of paper or on a blank print of the brain and eyes (2DD)
Prior to any interactions, to establish a baseline score, the students were given a 10-question assessment, including two questions about their confidence levels related to the material – Assessment 1. Each group then rotated through each of four stations: 1) 3DP, 2) 3DV, 3) 2D, and 2DD. Four groups worked at each station independently for approximately 20 minutes. Each group within each station had identical models to work with.
At the end of each station, students completed a short four-question quiz before moving to the next station. Two questions in each quiz assessed learning, and two questions assessed confidence levels. Students were permitted and encouraged to use the materials available to them at their station to assist in answering the questions.
A final assessment, similar to the baseline assessment, was given at the end of the study – Assessment 2. Each assessment contained an equal number of questions that either indicated an anatomical problem and sought input on the expected visual field deficit or indicated a specific visual field deficit and sought input on the expected anatomical location that could have resulted in the deficit. Students also provided qualitative feedback via online surveys during the 3DV and 2DD rotations and at the conclusion of the study. The study was exempted from Institutional Review Board approval.
Data analysis
Survey results were collated in Google Forms (Alphabet Inc., Mountain View, CA). All assessments were taken electronically using TopHat (Tophatmonocle Corp. Toronto, Ontario), a student engagement platform. Statistical analysis was completed using SPSS (IBM, Armonk, NY). Univariate analysis of the variance and a pairwise comparison of the means were used to compare performance among the test groups. The Wilcoxon signed rank test and paired t-test were used to compare before and after test performance. A p-value less than 0.05 was deemed statistically significant.
Results
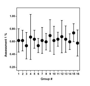
A total of 79 students were each randomly assigned to one of 16 groups using Excel’s random number picker. One student who had to leave the study prior to the last rotation and Assessment 2 was excluded from the analysis, changing the total to 78 students. All students completed a 10-question electronic assessment at the start of the study – Assessment 1. The average score was 62.8% (standard deviation 14.6%). Based on a univariate analysis of the variance and a pairwise comparison of the means, no significant differences in performance on Assessment 1 were noted among the 16 groups (Figure 3).
Student groups completed the assigned tasks at each station. Performance was assessed after each rotation using questions similar to those asked in Assessment 1, but fewer in number. The first round is most interesting and relevant because the groups had only interacted with one media type. No statistical difference was observed in the four media groups when comparing Assessment 1 scores; however, the two groups assigned to the 3DP and 3DV groups had markedly lower scores compared to their peers (Figure 4A). On the other hand, students who worked with either the 3D-printed models or the 3D virtual models performed significantly better on the Round 1 quiz than the students assigned to the other two groups (Figure 4B). On average, students performed much better on the Round 1 quiz than on Assessment 1.
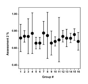
As students completed each of the subsequent three rounds, post-round quizzes showed a varied range of performance both in comparison to groups in the same round and compared to Assessment 1. The final assessment, Assessment 2, demonstrated a significant knowledge gain by all students who participated in this study. The average score was 71.7% (standard deviation 10.6%). Using a univariate analysis of the variance and a pairwise comparison of the means, no significant differences in performance on the final assessment were noted between the 16 groups (Figure 5). However, student performance on Assessment 2 (71.7%) significantly increased relative to Assessment 1 (62.8%) as shown in a Wilcoxon signed rank test and paired t-test (p=4.05×10-5 and p=1.89×10-5 respectively). The improvement was almost nine percentage points.
![]() Figure 3. Results from Assessment 1 by group. Each point represents the average score percentage for the students assigned to the respective group. Error bars represent the 95% confidence interval for the mean. Click to enlarge |
![]() Figure 4. Comparison of the Round 1 groups to performance on Assessment 1 and Round 1 quiz. A) Round 1 groups are shown relative to their performance on the initial assessment, Assessment 1. B) Round 1 groups are shown relative to their performance on the Round 1 quiz. Each point represents the average score percentage for the students assigned to the respective group. Error bars represent the standard error of the mean. P-values were calculated using univariate analysis of the variance comparing a combined 3D-printed model (3DP) and virtual 3D models (3DV) to printed 2D images (2D) and drawing the primary visual pathway (2DD). |
![]() Figure 5. Results from Assessment 2 by group. Each point represents the average score percentage for the students assigned to the respective group. Error bars represent the 95% confidence interval for the mean. Click to enlarge |
The study also assessed student confidence levels and perceptions. Confidence increased marginally between Assessment 1 and Assessment 2. However, when asked, “I am more confident in my ability to correlate visual field deficits to visual pathway damage after interacting with the 3D-printed model of the visual pathway,” at the conclusion of the study, the confidence of those who responded “strongly agree” increased almost nine times compared to questions answered in Assessment 2, “I am confident in my ability to identify common anatomical lesions from visual field information,” and “I am confident in my ability to identify visual field abnormalities from common anatomical lesion information.”
Students were asked, “On a scale of 1 to 5, rate how easy it was to correctly correlate visual field deficits to visual pathway damage” using each of the four modalities (1=easy and 5=difficult). The 3D-printed model received the highest ranking with 59.2% of respondents giving a score of 1 or 2 out of 5. Ranking next were the 2D at 50%, the 3D virtual model at 48.7% and the 2D drawing model at 43.6%. Students were also asked their level of agreement with the following statements using a 5-point Likert scale: “The 3D-printed model of the visual pathway would be a useful tool for optometry school education,” and “The 3D-printed model of the visual pathway would be a useful tool for patient education.” Most students (82.9%) “agreed” or “strongly agreed” that the 3D-printed model of the visual pathway “would be a useful tool for optometry school education,” and 69.8% felt it “would be a useful tool for patient education.” Students were finally asked to “Rank the visual pathway models in order of most helpful to least helpful (1=most and 4=least)” and “Rank the visual pathway models in order of most enjoyable to use to least enjoyable to use (1=most and 4=least).” When asked to rank the various models as either being helpful or enjoyable to use at the conclusion of the study, the 3D-printed model again came out on top (Figures 6 and 7).
![]() Figure 6. Student rankings for which model was most and least helpful. Click to enlarge |
![]() Figure 7. Student rankings for which model was most and least enjoyable to use. Click to enlarge |
Discussion
Incorporating 3D interactive models into the vision science classroom enhanced student learning and provided a valuable and enjoyable experience for the students. The 3D-printed model, in particular, had a strong effect on the student learning experience. However, engaging students through a variety of media had an even greater impact. The immediate knowledge gains after the study were higher than expected – equivalent to a full letter grade improvement. It is possible that Assessment 1 was more difficult than Assessment 2. Future studies might aim to randomly administer both exams at the beginning and conclusion of the study to account for possible variance between the assessments.
Although the student participants were randomly assigned to groups, there was an apparent difference in student performance at the outset between the 2D/2DD and 3DP/3DV groups (Figure 4A). Although not significant, the noticeable difference may have skewed the results in unanticipated ways. For example, the initial 3DP/3DV groups may have been composed of more visual/kinesthetic learners. This may account for their dramatic rise in performance after just their first 3D interaction. It may also account for why the typical learning environment using 2D images may not have prepared them as well for Assessment 1. Repetition of this study or including additional details about student learning styles may shed more light on this observation.
The entire study was performed within a traditional lecture hall with tiered seating. Some students reported that an open classroom environment would have been beneficial, perhaps more reminiscent of an open lab space. The vast majority of students enjoyed the experience. Importantly, the study showed that even a 20-minute hands-on small group experience can provide immediate knowledge gains (Figure 4). However, this study did not explore whether or not the immediate knowledge gains were retained beyond the brief experience. A longitudinal analysis, which was beyond the scope of this particular study, could be used to ascertain long-term retention in the future.
As noted in the introduction, some previous studies have shown that physical models provide advantages over computer-generated models, while others have demonstrated effective multimodal experiences can enhance learning.9,18 This study showed some of both. From an assessment perspective, 3D-printed and virtual models enhanced learning, but completing the entire series (3DP, 3DV, 2D, and 2DD) had a much stronger impact on improving knowledge recall and comprehension. On the other hand, the 3D-printed model was perceived by many students to be the most helpful tool and was by far the most enjoyable to work with. Repeating this study using only 3D-printed models may provide additional clarity.
Conclusion
Experience as an educator has taught me that students learn in different ways. The results of this study reinforce this concept. Although most students indicated that the 3D models were advantageous, a significant minority felt that either a 2D image or drawing their own model was more beneficial. I believe the student perceptions support a multimodal approach to teaching complicated or difficult topics. The significant increase in the assessment performance after completing this study supports this conclusion as well.
Acknowledgements
This project was funded in part by an Educational Starter Grant from the Association of Schools and Colleges of Optometry and The Vision Care Institute, LLC, an affiliate of Johnson & Johnson Vision Care, Inc. I would like to especially thank Sunami Chun, Gary Wisser and Jeff Macalino from the WesternU Educational 3D Visualization Department for their help in developing the 3D-printed and virtual models.
References
- Wu SM. Synaptic organization of the vertebrate retina: general principles and species-specific variations: the Friedenwald lecture. Invest Ophthalmol Vis Sci. 2010;51(3):1263-74. doi: 10.1167/iovs.09-4396. PMID: 20185835; PMCID: PMCPMC3258978.
- Khot Z, Quinlan K, Norman GR, Wainman B. The relative effectiveness of computer-based and traditional resources for education in anatomy. Anat Sci Educ. 2013;6(4):211-5. doi: 10.1002/ase.1355. PMID: 23509000.
- Estevez ME, Lindgren KA, Bergethon PR. A novel three-dimensional tool for teaching human neuroanatomy. Anat Sci Educ. 2010;3(6):309-17. doi: 10.1002/ase.186. PMID: 20939033; PMCID: PMCPMC3189499.
- Azer SA, Azer S. 3D anatomy models and impact on learning: a review of the quality of the literature. Health Professions Education. 2016;2(2):80-98. doi: https://doi.org/10.1016/j.hpe.2016.05.002
- Marconi S, Pugliese L, Botti M, et al. Value of 3D printing for the comprehension of surgical anatomy. Surg Endosc. 2017 Oct;31(10):4102-4110. doi: 10.1007/s00464-017-5457-5. PMID: 28281114.
- Pujol S, Baldwin M, Nassiri J, Kikinis R, Shaffer K. Using 3D modeling techniques to enhance teaching of difficult anatomical concepts. Acad Radiol. 2016;23(4):507-16. doi: 10.1016/j.acra.2015.12.012. PMID: WOS:000373034100015.
- Vaccarezza M, Papa V. 3D printing: a valuable resource in human anatomy education. Anat Sci Int. 2015;90(1):64-5. doi: 10.1007/s12565-014-0257-7. PMID: 25287879.
- AbouHashem Y, Dayal M, Savanah S, Strkalj G. The application of 3D printing in anatomy education. Med Educ Online. 2015;20(1):29847. doi: 10.3402/meo.v20.29847. PMID: 28229704.
- Preece D, Williams SB, Lam R, Weller R. “Let’s get physical”: advantages of a physical model over 3D computer models and textbooks in learning imaging anatomy. Anat Sci Educ. 2013;6(4):216-24. doi: 10.1002/ase.1345. PMID: 23349117.
- Tetsworth K, Block S, Glatt V. Putting 3D modelling and 3D printing into practice: virtual surgery and preoperative planning to reconstruct complex post-traumatic skeletal deformities and defects. SICOT J. 2017;3:16. doi: 10.1051/sicotj/2016043. PMID: 28220752; PMCID: PMCPMC5319375.
- Rothenberg S, Abdullah S, Hirsch J. 3D printing prototypes for healthcare professionals: creating a reciprocating syringe. J Digit Imaging. 2017 Oct;30(5):566-571. doi: 10.1007/s10278-017-9953-x. PMID: 28138795.
- Heller M, Bauer H-K, Goetze E, et al. Applications of patient-specific 3D printing in medicine. Int J Comput Dent. 2016;19(4):323-39. PMID: 28008429.
- Liew Y, Beveridge E, Demetriades AK, Hughes MA. 3D printing of patient-specific anatomy: a tool to improve patient consent and enhance imaging interpretation by trainees. Br J Neurosurg. 2015;29(5):712-4. doi: 10.3109/02688697.2015.1026799. PMID: 25822093.
- Canabrava S, Diniz-Filho A, Schor P, Fagundes DF, Lopes A, Batista WD. Production of an intraocular device using 3D printing: an innovative technology for ophthalmology. Arq Bras Oftalmol. 2015;78(6):393-4. doi: 10.5935/0004-2749.20150105. PMID: 26677048.
- Huang WB, Zhang XL. 3D printing: print the future of ophthalmology. Invest Ophth Vis Sci. 2014;55(8):5380-1. doi: 10.1167/iovs.14-15231. PMID: WOS:000343145500094.
- Sommer AC, Blumenthal EZ. Implementations of 3D printing in ophthalmology. Graefes Arch Clin Exp Ophthalmol. 2019;257(9):1815-22. doi: 10.1007/s00417-019-04312-3. PMID: 30993457.
- Lee N. The Lancet Technology: 3D printing for instruments, models, and organs? Lancet. 2016 Oct 1;388(10052):1368. doi: 10.1016/S0140-6736(16)31735-4. PMID: 27707486.
- Moro C, Smith J, Stromberga Z. Multimodal learning in health sciences and medicine: merging technologies to enhance student learning and Communication. Adv Exp Med Biol. 2019;1205:71-8. doi: 10.1007/978-3-030-31904-5_5. PMID: 31894570.








